Die RATTEN verlassen das sinkende Schiff.
Erst fürs impfen werben (Kimmisch) und nun kann er später erzählen ich habe ja für Register beworben.
Was für eine Heuchelei.
Mal schauen ob er für Regenbogenfarben wirbt in Katar.
Die können so viel zurück rudern wie sie möchten. Ich werde erst glücklich sein wenn die verantwortlichen und alle die „mitgemacht“ haben zur Rechenschaft gezogen worden sind.
Wir haben einen Vorteil gegenüber nach Nazi Zeiten und DDR. Wir haben das Internet. Das Internet vergisst nicht. ALLE FASCHISTEN und die mitgemacht haben (Medien, Ärzte usw. ) sind gespeichert. Was nach 3. Reich und DDR vermasselt worden ist müssen wir besser machen. Damit wir, unsere Kinder und Enkelkinder weiter in FREIHEIT Leben können!
Wir brauchen Radikale Änderungen in der Gewaltenteilung und in der Bildung. Diese Mechanismen müssen intensiv in der Schule besprochen werden. Wir brauchen direkte Demokratie. Und Kürzere Amtszeiten. Um nur paar Änderungen zu nennen.
Frage mich woher soviel Hass kommt. Mit dieser Einstellung wäre die Welt schon längst komplett in Schutt und Asche.
Traurig!
Langsam, aber stetig rudern sie zurück. Entgegen der Behauptungen mancher hier.
Krasser Impffaschismus in dem das Gesundheitsamt klarstellt: "Das zuständige Gesundheitsamt entscheide bei der Impfpflicht „über das weitere Vorgehen und die zu ergreifenden Maßnahmen im Rahmen seines Ermessens [...] Kontrolliert und entschieden wird im Einzelfall. Dabei spielt natürlich auch der Aspekt eine Rolle, ob in einer Übergangszeit Personalengpässe in Krankenhäusern, Pflegeeinrichtungen und Arztpraxen vermieden werden können“"
Muss man den Faschisten in der Regierung mal sagen, dass faschistische Zwangsmaßnahmen nicht mit Abwägungen im Einzelfall durchzusetzen sind, sondern mit Bundeswehr. Wissen die anscheinend nicht. Zu blöd um den Impffaschismus durchzusetzen.
Lustig ist, ja auch, dass die "nichts ist wie es scheint"-Fraktion die ist, die behauptet, dass nie "zurück gerudert wird". Oder von welchen Behauptungen, die jetzt klar widerlegt sind, sprichst du?
Ich finde auch hier, dass man die Vorgehensweise von Politik und Medien durchaus kritisch hinterfragen darf. Seit Wochen und Monaten wird intensiv von einer einrichtungsbezogenen Impfpflicht gesprochen. Nach meinem Verständnis des § 20a IfSG ist es jedoch so, dass bei bestehenden Arbeitsverhältnissen bis zum 15.03.22 lediglich die Pflicht zur Vorlage eines Nachweises i.S.d. § 20a Abs. 2 IfSG besteht. Bei Nichtvorlage wird das zuständige Gesundheitsamt informiert, welches dann ggf. ein Betretungs- oder Tätigkeitsverbot aussprechen kann. Wie Du richtig ausführst, handelt es sich hierbei um Ermessensentscheidungen.
Einige freuen sich nun über die „Großzügigkeit“ unserer Regierung. Die Schwurbler, radikalisierten Impfgegner und Minderbegabten im Forum denken an die Menschen in diesen Arbeitsbereichen, deren Arbeitgeber eventuell bereits entsprechende Kündigungen angedroht oder gar ausgesprochen haben.
Die können so viel zurück rudern wie sie möchten. Ich werde erst glücklich sein wenn die verantwortlichen und alle die „mitgemacht“ haben zur Rechenschaft gezogen worden sind.
Wir haben einen Vorteil gegenüber nach Nazi Zeiten und DDR. Wir haben das Internet. Das Internet vergisst nicht. ALLE FASCHISTEN und die mitgemacht haben (Medien, Ärzte usw. ) sind gespeichert. Was nach 3. Reich und DDR vermasselt worden ist müssen wir besser machen. Damit wir, unsere Kinder und Enkelkinder weiter in FREIHEIT Leben können!
Wir brauchen Radikale Änderungen in der Gewaltenteilung und in der Bildung. Diese Mechanismen müssen intensiv in der Schule besprochen werden. Wir brauchen direkte Demokratie. Und Kürzere Amtszeiten. Um nur paar Änderungen zu nennen.
Frage mich woher soviel Hass kommt. Mit dieser Einstellung wäre die Welt schon längst komplett in Schutt und Asche.
Traurig!
Ich finde es traurig, wenn man als erwachsener Mensch nicht in der Lage ist zwischen Hass, Wut und Frustration zu unterscheiden.
Mit soviel Hass hätte ich niemals gerechnet, Wut und Frustration sehen für mich ganz anders aus. Mit Wut und Frustration könnte ich umgehen, mit blankem Hass aber nicht.
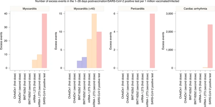
Bei jungen Menschen unter 40 sorgt die zweite Impfung je nach Studie aktuell für ein höheres Herzmuskelentzündungsrisiko als eine Infketion und bei jungen Männern ist es nach aktuellem Stand ein ein mehrfaches.
Hallo Maschinist, kannst du mir dazu deine Quellen nennen? Meine Suchen haben einen anderen Stand ergeben.
Diese Studie hat das Risiko zwischen Infektion und verschiedenen Impfstoffen verglichen.
Unterteilt wurde dort nur nach "unter 40" Jährigen und anderen:
https://www.nature.com/articles/s41591-021-01630-0
mrna1273 ist Moderna. Ich weiß das dieser Impfstoff zum Glück nicht mehr für jüngere Menschen verwendet werden soll.
Bei der Gruppe "unter 40" sind sehr überwiegend Männer von einer Herzmuskelentzündung betroffen und dabei vermehrt gesunde und athletische Männer bis 30. Bei Betrachtung nur dieser Gruppe wäre die Thematik noch auffälliger.
Insgesamt geht es mir um den Nutzen vs. Risiko je Alters- und Gesundheitskohorte.
Das Gesamttodesrisiko aller erkannten Covidinfektionen stumpf auf das Impfnebenwirkungsrisiko mit dem PEI Register zu vergleichen ist nach meiner Meinung absolut nicht sinnvoll.
Diese Grafik zeigt schematisch (nicht absolut) die Thematik über die Alterskohorte:
https://www.medpagetoday.com/opinion/second-opinions/93340
Deshalb ist es wichtig, dass die aktuelle C19 Behandlung unter maximaler Transparenz und Aufklärung freiwillig bleibt.
Bei einer Impfpflicht verantwortet der Staat direkt die Impfungschäden bzw. auch Impftote. Und bei jungen und gesunden Menschen ist dieses Risiko nach meinem aktuellen Kenntnisstand real gegeben im Vergleich zum möglichen Nutzen.
Ich habe meiner Mutter geraten sich Impfen zu lassen und bin auch froh, dass Ihr Impfstoff Moderna war, weil das der stärkste Impfstoff ist, der für alte Menschen den längsten Schutz bietet. Langzeitnebenwirkungen sind für jemandem mit Mitte 70 ein kleineres Problem vs. einem einstelligen Risiko an C19 Delta zu versterben.
Meinen Sohn damit zu behandeln käme mir dagegen nicht nur nicht in den Sinn, sondern ich würde auch jeden bekämpfen, der das mit Zwang versuchen würde.
Das sind rationale Risikoabschätzungen, bei denen jeder die Freiheit haben sollte, sie vornehmen zu können und zwar ohne 2G Ausgrenzungen und sozialen Druck.
Schönen Abend
BioNTech scheint aber doch auch U40 weniger Myokarditis zu machen als die Erkrankung, oder? Ich finde das ist ein Paradebeispiel, dass ein vorher nicht bekanntes Problem (Myokarditis durch Moderna) erkannt wurde und ziemlich schnell behoben wurde, indem man die Empfehlung abgeändert hat. Natürlich ist es Mist, dass es überhaupt zu Nebenwirkungen kommt. Bei meiner ersten Impfung am 28.12.20 hatte ich auch ein mulmiges Gefühl…ich kann also schon verstehen, dass man erstmal skeptisch ist. Damals waren allerdings weltweit wahrscheinlich nicht einmal 100000 Menschen geimpft. Das ist jetzt eine ganz andere Situation.
Ich würde auch lieber Nebenwirkungen mit Nebenwirkungen vergleichen, leider ist die Datengrundlage bzgl. Infektion relativ lückenhaft. Es gibt keine Standardbedingungen bei einer Infektion. Die Impfung wird hingegen gut überwacht. Ich kenne auch kein System in dem man seine Covid-Symptome eintragen kann. Im Gegensatz zu den Meldungen an das PEI oder VAERS. Wenn ich es nicht einmal schaffe die Gesamtzahl der Covidintensivpatienten herauszufinden…Dann ist die Datengrundlage bzgl. Infektion insgesamt schlechter weil sich weniger infiziert haben als inzwischen geimpft wurden. Aber auch deine 2. Grafik zeigt für mich nichts, was gegen eine Impfung eines 40-Jährigen spricht.
Das bedeutet nicht, dass ich für eine Impfpflicht bin. Und ich bin auch nicht der Meinung, dass Kinder unbedingt geimpft werden müssen (wobei die niedrigere BioNTech-Dosis bei 5-11 nach meinem letzten Stand sehr wenige Myokarditisfälle verursacht).
Wenn aber behauptet wird, die Impfung verhindert keine Todesfälle oder die meisten Coronapatienten auf Intensiv liegen wegen anderer Erkrankungen dort bzw. sterben an anderen Erkrankungen oder Masken sind wirkungslos, testen ist scheiße und kann sowieso nicht zwischen Influenza und Corona unterscheiden oder die Impfung macht impotent oder die Intensivkräfte haben die letzten 2 Jahre eigentlich nur gechillt, bin ich dann doch fassungslos. Ich fange auch nicht an mir irgendwelche pseudowissenschaftlichen Sachen auszudenken, warum AstraZeneca nicht der Grund für Sinusvenenthrombosen sein kann.
Man kann ja auch einfach ehrlich zugeben, dass einem die eigene körperliche Unversehrtheit wichtiger ist als irgendwelche anonymen Menschen oder man Angst hat, egal wie irrational das ist. Dann kann man aber auch verantwortungsvoll mit der Situation umgehen, sich z.B. nicht über Tests beschweren oder eine Maske aufziehen. Die Ungeimpften auf Intensiv müssen sich trotz 2G ja irgendwo angesteckt haben…Wenn ich ins Flugzeug steige, habe ich auch ein mulmigeres Gefühl als wenn ich ins Auto steige, obwohl das nicht rational ist.
Rein hypothetisch wage ich die Aussage, dass kein deutscher Staat auch nur ernsthaft drüber nachdenken würde dein Kind impfen zu lassen, wenn alle Ü50 geimpft wären. In UK hat die ältere Bevölkerung deutlich besser verstanden, dass die junge Generation im Lockdown auf ihr Leben verzichtet hat zugunsten der Älteren und dafür haben sich deutlich mehr Ältere als in Deutschland impfen lassen. Bei relativ gleicher Impfquote auf die Gesamtbevölkerung haben sich dann wohl weniger junge Menschen in UK impfen lassen als in Deutschland. Das ist aber nicht weiter schlimm. So sieht für mich allerdings gelebte Solidarität aus. Beide Bevölkerungsteile haben ihren Teil beigetragen.
Auf der chirurgischen Intensiv lag im November ein Patient Mitte 50 ungeimpft in dessen Anamnese stand, dass ein Bruder und der Vater auf anderen Intensivstationen in anderen Krankenhäusern liegen und Schwester sowie Mutter zuhause in Isolation sind. Kann sogar sein, dass es einer unser Bayernpatienten war. Das weiß ich allerdings nicht mehr. Da kann ich nur ungläubig den Kopf schütteln.
Im Übrigen glaube ich, dass du dich nur bedingt angesprochen fühlen musst, da du, soweit ich das beurteilen kann, verantwortungsvoller als viele andere gehandelt hast und z.B. sogar freiwillig Tests gemacht hast (laut deiner Aussage).
Bei einer rationalen Risikoabschätzung dürften für einen Sebastian Vettel überall andere Tempolimits gelten als für uns normale Autofahrer. Trotzdem wird ihm diese Freiheit nicht gewährt.
Die Situation hat sich mit Omikron verändert. Die Wissenschaft hat sich daran angepasst. Die Politik wird nach einer gewissen Zeit und manchen Auswüchsen nachziehen, so wie sie es bisher getan hat. Wenn sich jetzt nicht alle gleichzeitig anstecken, sollten wir im Frühling durch das Schlimmste gekommen sein. Was bleibt ist der fade Beigeschmack, dass es in anderen Ländern auf beiden Seiten solidarischer zugegangen ist.
Gute Nacht!
In der aktuellen NewYorkTimes gibt es einen Artikel vornehmlich über die unterdurchschnittliche Performance des US-Gesundheitssystems. Sehr überraschend fand ich die Zahlen zu den Toten der Omicron-Welle, da Deutschland nach den USA am schlechtesten wegkommt. Fast 20 Tote pro 100.000 Einwohner durch Omicron.
https://www.nytimes.com/interactive/2022/02/01/science/covid-deaths-united-states.html
...Man kann ja auch einfach ehrlich zugeben, dass einem die eigene körperliche Unversehrtheit wichtiger ist als irgendwelche anonymen Menschen ...
Rein hypothetisch wage ich die Aussage, dass kein deutscher Staat auch nur ernsthaft drüber nachdenken würde dein Kind impfen zu lassen, wenn alle Ü50 geimpft wären. In UK hat die ältere Bevölkerung deutlich besser verstanden, dass die junge Generation im Lockdown auf ihr Leben verzichtet hat zugunsten der Älteren und dafür haben sich deutlich mehr Ältere als in Deutschland impfen lassen. Bei relativ gleicher Impfquote auf die Gesamtbevölkerung haben sich dann wohl weniger junge Menschen in UK impfen lassen als in Deutschland. Das ist aber nicht weiter schlimm. So sieht für mich allerdings gelebte Solidarität aus. Beide Bevölkerungsteile haben ihren Teil beigetragen.
Danke für Deinen Beitrag und guten Morgen.
in den allermeisten Ländern außerhalb Deutschlands (plus Österreich, Italien die alle drei mit faschistischen / Systemen / Diktaturen erlebte Erfahrung haben) käme nach meiner Einschätzung auch nie eine Mehrheit auf die Idee so etwas zu fordern bzw. gut zu heißen.
Natürlich sollte jedem Einzelnen von uns die eigene körperliche Unversehrtheit wichtiger sein als ein möglicher Fremdschutz (der in diesem Fall bei Omikron auch gar nicht mehr nennenswert gegeben ist, wie die Infektionszahlen zeigen).
Der Staat selbst hat bei dieser Entscheidung nach unserem Grundgesetz dann noch einmal deutlich höhere Hürden auferlegt bekommen.
Interessant ist dazu zum Beispiel der Verfasssungsgerichtsentscheid aus dem Jahr 2006 zum damals regierungsseitig entschiedenen staatlichen Abschuss von Passagierflugzeugen, die durch Kidnapping absehbar als Waffe benutzt werden sollen (nach dem fürchterlichen 9.11 Drama).
Dem Staat wurde es in diesem Urteil ausdrücklich verboten Menschenleben gegeneinander aufzurechnen, Menschen selbst in auswegsloser Lage zu Objekten zu degradieren oder auch das generelle Vorgehen eine kleinere Zahl an Menschen "zu opfern" um eine größere Zahl zu schützen:
https://www.bundesverfassungsgericht.de/SharedDocs/Pressemitteilungen/DE/2006/bvg06-011.html
Diese Denke Menschenleben gegeneinander aufzurechnen und den Einzelnen aufzufordern zum Schutz der Allgemeinheit eine Selbstschädigung vornehmen zu lassen, hat in einem Rechtsstaat keinen Platz.
Es ist eher Ausdruck von menschenverachtenden Systemen. Wenn eine Mehrheit so etwas gut findet ist es nach meiner Meinung zwar noch eine "Demokratie" aber kein "Rechtsstaat" mehr, bei dem Minderheiten ausdrücklich vor der (temporären) Mehrheitsmeinung geschützt werden, wenn diese tyrannisch ist.
Da es in unserem aktuellen C19 Thema auch um Kinder und Jugendliche geht, die selbst keine (ausreichende) eigene Stimme dabei haben, finde ich dabei noch einmal bedenklicher und dabei sollte an deren Schutz noch deutlichst stärker gedacht werden als bei einem Erwachsenen.
Es kann und darf allgemein keine Aufrechnung von Leben oder "Gesundheiten" stattfinden, wenn die Behandlung Risiken hat und das Nutzen / Risiko Verhältnis für die Person selbst eventuell nicht deutlich positiv ist oder mögliche unerkannte Risiken diesbezüglich bestehen.
Schönen Tag und danke für Deinen (selbstentschiedenen) Dienst an der Gesellschaft.
Bisher ist es auch in den 3 genannten Ländern freiwillig und in Österreich gilt Ü18, in Italien Ü50. Für Deutschland vermute ich, falls eine Impfpflicht überhaupt kommen sollte, dass Kinder genauso ausgespart bleiben. Außerdem möchte ich daran erinnern, dass wir die guten Daten zur Kinderimpfung aus Ländern wie Israel, USA und und UK haben. Die waren dort viel schneller als wir (auf freiwilliger Basis, aber auch in Deutschland wurde ja kein Kind gezwungen).
Eigentlich sollte jedem klar sein, dass er zu jeder Zeit auf einer Intensivstation landen könnte. Niemand ist vor einem Autounfall geschützt. Man kann auch jederzeit angeschossen werden…falls man wie ich jeden Tag mit dem Fahrrad zur Arbeit fährt, ist man besonders gefährdet, besonders in den Wintermonaten. Daher besteht durchaus auch ein legitimes Eigeninteresse, dass es freie betreibbare Betten auf Intensiv gibt. Das bleibt trotz Omikron noch bedingt gültig, da man in den USA sieht, vollkommen ungefährlich ist Omikron nicht, wenn man es einfach laufen lässt. Die andere Möglichkeit ist, dass man sich nicht impfen lässt, aufgrund von Maßnahmen aber zumindest die Welle gebremst wird. Gut durchgeimpfte Länder (ältere Bevölkerung) wie Spanien, Portugal, Dänemark, UK zeigen, dass man bei Omikron wenige bis keine Maßnahmen bräuchte.
Wenn man natürlich anzweifelt, dass es trotz Erklärungen des Personals und Bundeswehrflugzeugen in Deutschland eine wie auch immer geartete Knappheit gibt, fehlt natürlich jede gemeinsame Diskussionsgrundlage.
Als erwachsener Mensch hätte ich mich persönlich auch vor meine Kinder gestellt und gesagt, gut ich schlucke die Kröte und lasse mich impfen, damit deren Einschränkungen im Alltag insgesamt wegfallen können. Aber ich habe halt auch einen Beruf gewählt, bei dem ich an andere Menschen denke. In den UK hat das allerdings gesellschaftlich funktioniert, in Dänemark auch.
Über eine Pflicht brauchen wir nicht diskutieren. Ich bin nicht dafür. Für mich gäbe es wie gesagt genug Gründe sich trotzdem impfen zu lassen. Und auch deine Grafiken haben mir nichts gezeigt, was einen Ü40 davon abhalten sollte, außer ein schlechtes Bauchgefühl.
Diejenigen, die momentan aber schreien Omikron ist ungefährlich, alle Maßnahmen aufheben, haben das schon über Original, Alpha und Delta gesagt. Das hat damals nicht gestimmt und stimmt momentan auch nur bedingt siehe USA. Für Ungeimpfte habe ich gehört etwa 25% schwächer als Delta. Aufgrund der viel höheren Inzidenzen hebt sich das ab einer gewissen Inzidenz wieder auf.
Ehrlich gesagt kann ich auch niemandem vom Intensivpersonal vorwerfen, dass sie ganz froh sind, dass die Betten nicht randvoll sind und mal eine Verschnaufpause bekommen. Abgesehen davon, dass die Patienten zwar abnehmen (im Sinne von weniger neuen), aber auch das positiv getestete Personal zunimmt und damit die verbliebenen Kräfte weiterhin viel zu tun haben.
Hallo Freiheitskämpfer,
ich lese hier schon lange mit und ein sehr großes Lob an alle die hier ihren Beitrag leisten.
Hier ein kurzer Auszug aus unserer Familie. Ich will mit diesem Post keine Diskussion anregen, sondern eher anderen Menschen Mut machen und zeigen das ihr nicht allein seid.
- Meine Frau ist doppelt geimpft
- Meine beiden Söhne sind nicht geimpft
- Ich selbst bin ebenfalls nicht geimpft
Frau
Meine Frau ist Gesundheits - und Krankenpflegerin und hat im Februar die erste und im März 2021 die zweite Impfung Biontech bekommen. Vor einem Jahr war, das recht neu und wir waren, sehr froh, dass meine Frau als eine der ersten eine Impfung gegen Covid19 von ihrem Arbeitgeber erhalten hatte. In dieser Zeit kam meine Frau auf die Corona Intensivstation in ihrem Krankenhaus. Wie sie erzählte, war es wie eine Mars Kolonie. Alles verbarrikadiert und eine Schleuse nach der anderen. Auf dieser Corona Intensivstation überlebten 50% der Menschen, die eingeliefert wurden. Meistens waren diese Menschen sehr alt oder hatten vor Erkrankungen. Der einzige Grund, warum sie sich impfen, gelassen hatte war, dass sie es auf garkeinen Fall zulassen, wollte Corona mit nach Hause zu bringen und unseren Sohn oder ich mit Corona zu Infizieren. Denn wir haben zum damaligen Zeitpunkt gedacht, dass Corona eine sehr Schlimme Pandemie sei und wir einen Klassischen Impfstoff bekommen würden.
Weit gefehlt! Sie bereut die Impfung sehr und wird sich auch nicht weiter impfen lassen.
Beide Söhne
Sind ungeimpft und meine Frau und ich werden alles dafür tun das sie diese Impfung niemals bekommen.
Ich
Zu dem Zeitpunkt als meine Frau die Impfung bekommen hatte, wollte ich selbstverständlich auch eine Impfung so schnell wie möglich erhalten. Zu dem Zeitpunkt war Astrazeneca in den Verruf geraten und ich sagte mir, die nehme ich auch, Hauptsache wir sind gegen Covid19 geschützt.
Als es in meiner Altersgruppe möglich war sich bei den Impfzentren zu melden, um einen Termin zu bekommen, tat ich das schnell, um baldmöglichst einen Termin zu bekommen, welcher Impfstoff war mir egal, Hauptsache ich bin gegen Covid19 geimpft. Rückblickend war das sehr naiv von mir. Ich bekam nach der Onlineanmeldung bei unserem Impfzentrum irgendwann eine E-Mail mit einer PDF-Datei, die ich nicht Öffnen konnte, egal was ich gemacht hatte, ich konnte die PDF-Datei mit meinem Termin nicht öffnen und somit wusste ich nicht, wann denn nun mein Termin sei. Ein Anruf beim Impfzentrum hat ergeben das ich den Termin über das Telefon nicht erfahren darf wegen Datenschutz und ein erneutes zusenden der E-Mail mit einer Funktionierenden PDF-Datei wollten man sich drum kümmern. Das Ende vom Lied war, ich bekam irgendwann Wochen später eine E-Mail, mit der Frage wie denn mein Impftermin war und ob ich zufrieden sei.
Zu diesem Zeitpunkt hat mich ein Lang jähriger Freund gefragt, ob ich denn mich wirklich impfen lassen möchte, denn die Impfstoffe haben eine Bedingte Zulassung und bei ihrer Arbeit trat kurz nach der Impfung ein Fall von Thrombosen im Kopf und eine anderer fall von Myokarditis auf. An dieser Stelle habe ich angefangen zu recherchieren, die Ergebnisse von der Recherche decken sich mit den Erkenntnissen in diesem Thread was ich nicht weiter erläutern möchte. Auffällig war das zu diesem Thema mehr in den alternativ Medien zu finden ist als bei den GEZ finanzierten alt Medien. Das hat meine Einstellung zu den GEZ Finanzierte alt Medien stark geschädigt.
In unserem Umfeld haben sich viele geimpft und es gibt ebenfalls viele die nicht geimpft sind. Es gab einige fehle im Bekanntenkreis die doch erhebliche Impfnebenwirkungen hatten und immer noch haben. Dieses Risiko wollen wir nicht auf uns nehmen und deshalb wird in unsere Familie niemand mehr gegen Covid19 geimpft. Ich werde alles dafür tun diese Impfung meiner Familie zu ersparen.
*Kleine Randnotiz* aktuell fällt mir vermehrt im bekannten kreis und auch darüber hinaus auf, dass sich doppelt und auch geboosterte sich mit Covid19 anstecken. Alle die geimpft oder schon geboostert sind geht es sehr dreckig. Im Gegensatz dazu die nicht geimpft sind, denen geht es viel besser, die stecken das viel besser weg als die Geimpften.
LG
mrna1273 ist Moderna. Ich weiß das dieser Impfstoff zum Glück nicht mehr für jüngere Menschen verwendet werden soll.
Bei der Gruppe "unter 40" sind sehr überwiegend Männer von einer Herzmuskelentzündung betroffen und dabei vermehrt gesunde und athletische Männer bis 30. Bei Betrachtung nur dieser Gruppe wäre die Thematik noch auffälliger.
Danke. Ja, diese Dinge stimmen.
Ich kann selbst aus diesen Studien nicht herauslesen, dass für junge Menschen (unter 40 oder auch noch jünger) die Impfung nicht Net-Positiv ist. Von den Zahlen schon nicht und noch weniger, wenn man berücksichtigt, dass Moderna nicht an Junge verimpft werden.
Die Studie schreibt übrigens noch mehr zur Myokarditis:
Whilst myocarditis can be life-threatening, most vaccine-associated myocarditis events have been mild and self-limitinghttps://doi.org/10.1056/NEJMoa2110737
(2021)." href="https://www.nature.com/articles/s41591-021-01630-0#ref-CR22" data-track="click" data-track-action="reference anchor" data-track-label="link" data-test="citation-ref" aria-label="Reference 22">22. The risk observed here is small and confined to the 7-day period following vaccination, whereas the lifetime risk of morbidity and mortality following SARS-CoV-2 infection is substantial.
https://www.n-tv.de/wissen/Historische-Ubersterblichkeit-in-drei-Laendern-article23099486.html
Es geht um das Jahr 2020, also erstmal völlig neutral bzgl. Impfung. Spannend finde ich auch die eingebaute Tabelle Norwegen und Dänemark gerade einmal ca. 50 Tote/100.000 Einwohner, Finnland sogar nur 26. Zum Vergleich Deutschland mit 130, Schweden 148, Spanien 188, UK 220, Mexiko 233 und USA 244. Gerade USA ist für mich damit ein ziemliches Armutszeugnis...falls jemand spezielle Infos hat, was Finnland, Dänemark und Norwegen so viel besser gemacht haben als wir, wäre ich sehr dankbar ? (Tabelle ist nicht aktuellster Stand, Tendenzen werden aber wohl weiterhin stimmen)
https://www.n-tv.de/wissen/Historische-Ubersterblichkeit-in-drei-Laendern-article23099486.html
Es geht um das Jahr 2020, also erstmal völlig neutral bzgl. Impfung. Spannend finde ich auch die eingebaute Tabelle Norwegen und Dänemark gerade einmal ca. 50 Tote/100.000 Einwohner, Finnland sogar nur 26. Zum Vergleich Deutschland mit 130, Schweden 148, Spanien 188, UK 220, Mexiko 233 und USA 244. Gerade USA ist für mich damit ein ziemliches Armutszeugnis...falls jemand spezielle Infos hat, was Finnland, Dänemark und Norwegen so viel besser gemacht haben als wir, wäre ich sehr dankbar ? (Tabelle ist nicht aktuellster Stand, Tendenzen werden aber wohl weiterhin stimmen)
Einer der genannten Gründe war, dass die nordischen Länder ein wesentlich höheres Vertrauen in den Staat bzw. das politische System des Landes haben und insoweit auf Empfehlungen der Politik mit großer Eigenverantwortung und Umsetzung reagieren, ohne das es verpflichtende Maßnahmen braucht.
In Deutschland ist dieses Vertrauen, bereits vor Corona, auf einem wesentlich niedrigerem Niveau gelegen, sodass Empfehlungen der Politik mutmaßlich in deutlich geringerem Umfang in das eigene Handeln übernommen wurden und entsprechend mit „Maßnahmen“ statt Empfehlungen versucht wurde das Ziel zu erreichen.
Dies dürfte im Endeffekt, durch die teilweise schwer nachvollziehbaren Entscheidungen nach dem Sommer 2020, noch mehr Vertrauen zerstört haben.
Ob es zu etwaigen Auswirkungen tatsächlich wissenschaftliche Studien gibt ist mir nicht bekannt.
Zumindest zu dem Vertrauensindex gibt es n.W.n. Studien (vor Corona) in denen die nordischen Länder >=90% Vertrauen in das politische System haben und in Deutschland ca. 75%.
Die können so viel zurück rudern wie sie möchten. Ich werde erst glücklich sein wenn die verantwortlichen und alle die „mitgemacht“ haben zur Rechenschaft gezogen worden sind.
Wir haben einen Vorteil gegenüber nach Nazi Zeiten und DDR. Wir haben das Internet. Das Internet vergisst nicht. ALLE FASCHISTEN und die mitgemacht haben (Medien, Ärzte usw. ) sind gespeichert. Was nach 3. Reich und DDR vermasselt worden ist müssen wir besser machen. Damit wir, unsere Kinder und Enkelkinder weiter in FREIHEIT Leben können!
Wir brauchen Radikale Änderungen in der Gewaltenteilung und in der Bildung. Diese Mechanismen müssen intensiv in der Schule besprochen werden. Wir brauchen direkte Demokratie. Und Kürzere Amtszeiten. Um nur paar Änderungen zu nennen.
Frage mich woher soviel Hass kommt. Mit dieser Einstellung wäre die Welt schon längst komplett in Schutt und Asche.
Traurig!
Aha. Direkte Demokratie, Aufklärung, Freiheit, Rechenschaft, Gewaltenteilung, Besseres Bildungssystem.
Hassgefüllte Wörter habe ich da benutzt.
Frage mich sind es die „Impf“-Nebenwirkungen oder die Faschistische Grund Einstellung.
Traurig aber wir werden dagegen kämpfen für eine friedliche und bessere Welt.
<Die RATTEN verlassen das sinkende Schiff.
ich würde niemals andere Menschen als Ratten bezeichnen, auch nicht Menschen die anders denken als ich
Mal eine Frage, was würdest Du tun wenn ein Dir nahestehendes Familienmitglied schwer an Corona erkranken würde oder gar Du selber? Daheim auskurieren oder Spital/Arzt?
Ich arbeite nicht mehr, aber ich würde Jeden Ungeimpften genauso behandeln wie den Geimpften, wir behandeln Menschen ungeachtet Herkunft und Status (Impfstatus), ich bin nicht für die Zwangsimpfung, aber für einen anständigen Umgang untereinander, es wird auch eine Zeit nach Corona geben, ich lebe in der CH, bei uns wird nun gelockert, das würde ich mir auch für D wünschen, sobald möglich, besonders im Hinblick auf diese "Spaziergänge", die ängstigen mich.
Bald ist die Pandemie Vergangenheit, sei mal ein wenig optimistischer ![]()


